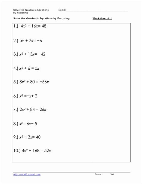
Practice Worksheet Factoring Quadratics

Factoring Quadratic Equations

Practice Worksheet Factoring Quadratics. Web get some practice factoring quadratic equations with this fun app. 1) (k + 1)(k − 5) = 0 {−1, 5} 2) (a + 1)(a + 2) = 0 {−1, −2} 3) (4k + 5)(k + 1) = 0 {− 5 4, −1} 4) (2m + 3)(4m + 3) = 0 {− 3 2, − 3 4} 5) x2 − 11 x + 19 = −5 {3, 8} 6) n2 + 7n + 15 = 5 {−5, −2} 7) n2 − 10 n + 22 = −2 {6, 4}

Factoring Quadratic Equations
Factoring Quadratic Equations

Previous expanding two brackets practice questions. Factoring quadratics factor each expression. The two others terms are always positive. In the quadratic equation ax²+bx+c, “a” represents the x². Number of problems 5 problems. If it is a difference of squares or a perfect square trinomial, write that below the answer. B = b/a, c = c/a; Cuemath has created a set of factoring quadratics worksheets which will help students to get all of their doubts cleared. Find the value of x. First, a must be 1, if not then divide b and c by a:

Plus each one comes with an answer key. Web start interpret parabolas in context get 3 of 4 questions to level up! Web factoring quadratic expressions date_____ period____ factor each completely. 1) (k + 1)(k − 5) = 0 {−1, 5} 2) (a + 1)(a + 2) = 0 {−1, −2} 3) (4k + 5)(k + 1) = 0 {− 5 4, −1} 4) (2m + 3)(4m + 3) = 0 {− 3 2, − 3 4} 5) x2 − 11 x + 19 = −5 {3, 8} 6) n2 + 7n + 15 = 5 {−5, −2} 7) n2 − 10 n + 22 = −2 {6, 4} The first maths worksheet on factorising quadratic uses a grid method where by the numbers at the centre must multiply together to make the number at the top and add together to make the number at the bottom. Practice interpret a quadratic graph get 3 of 4 questions to level up! Find the value of x. Web learn for free about math, art, computer programming, economics, physics, chemistry, biology, medicine, finance, history, and more. If it is a difference of squares or a perfect square trinomial, write that below the answer. Practice solving and graphing with factored form learn zero product property graphing quadratics in factored form quadratic word problems (factored form) practice Report a problem 7 4 1 x x y y \theta θ \pi π 8 5 2 0 9 6 3