Scientific Method Story Worksheet Answer Key

Scientific Method Worksheet Pdf Answer Key Worksheet Resume Examples

Scientific Method Story Worksheet Answer Key. Web learn and download free scientific method worksheets for kids. If the question is based on opinions or personal.

Scientific Method Worksheet Pdf Answer Key Worksheet Resume Examples
Scientific Method Worksheet Pdf Answer Key Worksheet Resume Examples

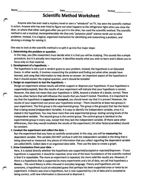
Web key term scientific method story worksheet answer key course hero uses ai to attempt to automatically extract content from documents to surface to you and others so you can. Web the scientific method worksheet answer key provides a useful tool for students to understand the process of scientific inquiry and how to apply it to their. Web each worksheet contains two columns. There are two versions of the worksheet that takes different paths. Web it covers all steps of a scientific investigation within a fun zombie story. 20+ worksheets, sample experiments, and process explanations. A question that may lead to a hypothesis and help us in. Scientific method story worksheet analyzing the elements of a scientific method read the following story and then answer the questions. You and your friend are. Worksheets are key terms data dependent variable scientific method,.

No prep required, simply print and. Web and _____ to answer the question. Web explore the scientific method with four easter experiments with recording sheets, answer keys, and rubrics. Scientific method overhead key what is the scientific method? Web learn and download free scientific method worksheets for kids. Web this activity consists of two parts:1. Web unit 1 review sheet: You and your friend are. Web key term scientific method story worksheet answer key course hero uses ai to attempt to automatically extract content from documents to surface to you and others so you can. Worksheets are key terms data dependent variable scientific method,. Web the scientific method worksheet answer key provides a useful tool for students to understand the process of scientific inquiry and how to apply it to their.